2020-10-29 11:03:30 来源:互联网

在线经济爆发,产业AI化进程加速
AI算力的提升一直是驱动人工智能快速发展的重要因素。报告指出,用于AI算力的投资仍将是各个公司发展AI的首要支出。IDC预测,2020年中国AI整体市场规模将达 62.7美元,同比增长37.2%。其中AI基础设施(含服务器、存储、网络)市场规模达到39.3亿美元,同比增长26.8%,在总体份额中的占比将超过6成。
从行业维度看,互联网仍然是最大的细分市场。由于疫情期间在线教育、在线办公、无接触物流、短视频等应用场景的爆发式增长,2020年上半年互联网市场同比增幅高达105.1%,整体份额占比大幅提升14.5个百分点达57.9%。除互联网以外,2020年上半年规模前五的行业分别为政府(12.6%)、服务(9.0%)、通信(4.8%)和教科研(4.4%)。而从增速来看,增速最快的5个行业分别为交通(962.1%)、公共事业(342.1%)、媒体(105.9%)、互联网(105.1%)和通信(90.4%)。
目前,AI行业应用落地趋势正在逐步加速,特别是自去年底以来,受新冠疫情的影响,很多传统行业更加深刻的意识到人工智能、大数据、5G等技术的重要性,促使各企业加大对于IT基础架构的投资。此外,在国家产业政策层面,政府倡导的新基建拉开序幕,人工智能、5G、大数据等业务板块又迎来新风口,智算中心的产业投资,这将给各厂商带来更多的发展机会。
浪潮AI算力全面创新,全栈AI优势明显
针对智慧时代算力需求和最新发展趋势,浪潮前瞻提出智算中心,并围绕智算中心生产算力、聚合算力、调度算力、释放算力这四大关键作业环节持续创新:在生产算力层面持续打造业内最强最全的AI算力机组;在聚合算力方面打造更高效率更低延迟硬件加速设备与优化软件栈;在AI算力调度层面通过高效AIstation算力调度平台加速AI创新与生产交付;在释放算力层面通过AutoML Suite为人工智能客户与开发者提供快速高效开发AI模型的能力。
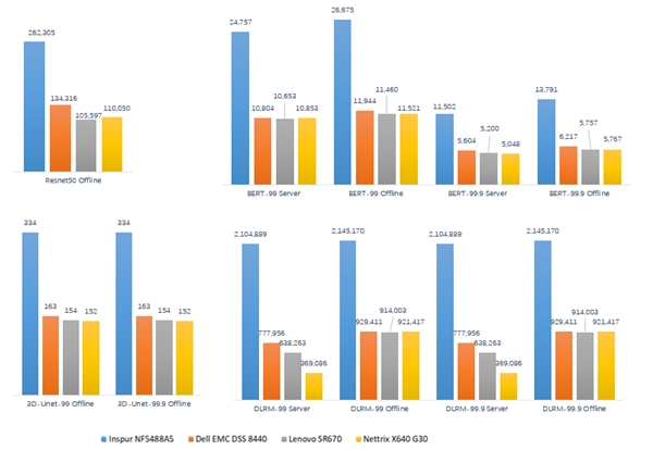
作为全球领先的AI算力供应商,浪潮拥有业内最强最全的AI计算产品阵列:其中浪潮NF5488A5是全球首款在4U空间内支持8块安培架构A100芯片实现NVLink高速互联的AI服务器,在全球权威AI基准测试MLPerf中,一举创造18项全球性能纪录,在Resnet50推理任务测试中,以54.9万/每秒的全球服务器最好成绩,同比19年纪录提升3倍;此前,NF5488A5在今年7月公布的MLPerf训练榜单中,在Resnet50训练任务中,仅用时33.37分钟就完成了ResNet50模型基于ImageNet 数据集的训练任务,单服务器性能成绩高居榜首。同时,在推动算力多元化层面,率先推出MX1全球首个AI开放加速系统,可支持多家不同型号的AI芯片直接更换。


各服务器MLPerf AI推理性能对比
同时,AI生产调度过程中,算力资源调度管理和AI算法优化能力同样重要。在AI资源管理调度层面,浪潮AIStation企业级人工智能开发平台,全面支持训练与推理两大环节,实现从模型开发、训练、部署、测试、发布的全流程一站式高效交付,帮助用户获得300%的开发效率提升;在自动机器学习领域,浪潮AutoML Suite可实现企业级一站式模型自动构建,支持本地化和云端部署、并行高效模型搜索,全面支持图像分类/回归/目标检测CV场景应用,模型大小与计算量极致压缩。经过AutoML Suite自动生成的AI算法模型,实战表现超出专家模型水平。此外,在AI算法创新层面,最新研发成功的AI大模型计算框架LMS,可将NLP智能语言模型参数规模突破73亿,相比业界主流水平提升20倍以上。
元脑生态多点开花,加速产业AI普惠
在生态力布局上,浪潮与具备AI功能开发核心能力的科技公司,以及具备实施AI整体解决方案能力的SI、ISV共建“元脑生态”,聚合了最强的AI算力平台、最领先的AI算法模型能力和最优质的集成部署和服务能力,有力支撑和加速各产业与人工智能的快速融合,使之具备可感知、自学习、可进化的能力,最终帮助产业用户完成业务智能转型升级。
目前,浪潮携手元脑左右手伙伴已经在金融、铁路、电力、交通、智慧城市、石油石化等行业领域实现了产业AI化落地,大大促进了各行业的产业AI化转型升级。
免责声明:本网站(http://www.ciotimes.com/)内容主要来自原创、合作媒体供稿和第三方投稿,凡在本网站出现的信息,均仅供参考。本网站将尽力确保所提供信息的准确性及可靠性,但不保证有关资料的准确性及可靠性,读者在使用前请进一步核实,并对任何自主决定的行为负责。本网站对有关资料所引致的错误、不确或遗漏,概不负任何法律责任。
本网站刊载的所有内容(包括但不仅限文字、图片、LOGO、音频、视频、软件、程序等)版权归原作者所有。任何单位或个人认为本网站中的内容可能涉嫌侵犯其知识产权或存在不实内容时,请及时通知本站,予以删除。
