首页 > 大数据 > 正文

数据科学异常值检测原理之经验法则

2020-03-19 12:04:30  来源:阿里云栖社区

摘要:数据样本符合标准正态分布,正态分布的核心是中心极限定理即:如果一个事物受到多种因素的影响,不管每个因素本身是什么分布,它们加总后,结果的平均值就是正态分布。
关键词: 数据科学
  前提:
 
  数据样本符合标准正态分布,正态分布的核心是中心极限定理即:如果一个事物受到多种因素的影响,不管每个因素本身是什么分布,它们加总后,结果的平均值就是正态分布。如果要符合正态分布则这些因素必须彼此独立,彼此不独立的各项因素会互相加强影响,那么就构不成正态分布。(还有对数正态分布是指各种因素对结果的影响不是相加,而是相乘)
 
  经验法则原理:
 
  标准正态分布下的曲线为钟型曲线,期望值μ决定了其位置,其标准差σ决定了分布的幅度。当μ = 0,σ = 1时的正态分布是标准正态分布。因此对于一组数据,如果符合正态分布,则可以通过经验法则来检测异常值,同图中可以发现,68.2%的测量值落在μ值处正负一个标准差σ的区间内,95.4%的测量值将落在μ值处正负两个标准差σ的区间内,99.7%的值落在μ值处正负三个标准差σ的区间内。因此,对于一组符合正态分布的数据,如果某个值距离μ值超过三个标准差σ则可以判断这个值属于异常数据。
 
\
 
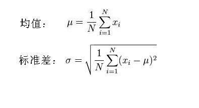
  计算步骤:
 
  μ值:μ是遵从正态分布的随机变量的均值,由于前提是各种因素对结果的影响为相加,因此μ值的计算可以为样本数据的算术平均值。
 
  标准差σ:所有数据减去其平均值的平方和,所得结果除以该组数之个数N(数据集为总体数据情况,一般用于大数据算法)或者个数N减1(数据集为样本数据情况,认为数据集不是总体数据而是总体数据的一部分,一般用于统计学),再把所得值开根号,所得之数就是这组数据的标准差。
 
\
 
  判断逻辑:计算μ+3σ,μ-3σ,当单个数据大于μ+3σ或者小于μ-3σ时,认为此数据为异常值,因为按照经验法则,此数据在数据集的99.7%范围外。

第四十一届CIO班招生
国际CIO认证培训
首席数据官(CDO)认证培训
责编:baiyl

免责声明:本网站(http://www.ciotimes.com/)内容主要来自原创、合作媒体供稿和第三方投稿,凡在本网站出现的信息,均仅供参考。本网站将尽力确保所提供信息的准确性及可靠性,但不保证有关资料的准确性及可靠性,读者在使用前请进一步核实,并对任何自主决定的行为负责。本网站对有关资料所引致的错误、不确或遗漏,概不负任何法律责任。
本网站刊载的所有内容(包括但不仅限文字、图片、LOGO、音频、视频、软件、程序等)版权归原作者所有。任何单位或个人认为本网站中的内容可能涉嫌侵犯其知识产权或存在不实内容时,请及时通知本站,予以删除。