首页 > 人工智能 > 正文

【互联网+】机器学习8大算法比较

2016-11-16 10:50:41  来源:CIO四海一家

摘要:机器学习算法太多了,分类、回归、聚类、推荐、图像识别领域等等,要想找到一个合适算法真的不容易,所以在实际应用中,我们一般都是采用启发式学习方式来实验。
关键词: 算法 机器学习 互联网
\

  本文主要回顾下几个常用算法的适应场景及其优缺点!(提示:部分内容摘自网络)

  机器学习算法太多了,分类、回归、聚类、推荐、图像识别领域等等,要想找到一个合适算法真的不容易,所以在实际应用中,我们一般都是采用启发式学习方式来实验。

  通常最开始我们都会选择大家普遍认同的算法,诸如SVM,GBDT,Adaboost,现在深度学习很火热,神经网络也是一个不错的选择。

  假如你在乎精度(accuracy)的话,最好的方法就是通过交叉验证(cross-validation)对各个算法一个个地进行测试,进行比较,然后调整参数确保每个算法达到最优解,最后选择最好的一个。

  但是如果你只是在寻找一个“足够好”的算法来解决你的问题,或者这里有些技巧可以参考,下面来分析下各个算法的优缺点,基于算法的优缺点,更易于我们去选择它。

  偏差&方差

  在统计学中,一个模型好坏,是根据偏差和方差来衡量的,所以我们先来普及一下偏差和方差:

  偏差:描述的是预测值(估计值)的期望E’与真实值Y之间的差距。偏差越大,越偏离真实数据。

\

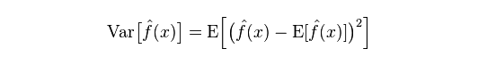
  方差:描述的是预测值P的变化范围,离散程度,是预测值的方差,也就是离其期望值E的距离。方差越大,数据的分布越分散。

\

  模型的真实误差是两者之和,如下图:

\

  如果是小训练集,高偏差/低方差的分类器(例如,朴素贝叶斯NB)要比低偏差/高方差大分类的优势大(例如,KNN),因为后者会过拟合。

  但是,随着你训练集的增长,模型对于原数据的预测能力就越好,偏差就会降低,此时低偏差/高方差分类器就会渐渐的表现其优势(因为它们有较低的渐近误差),此时高偏差分类器此时已经不足以提供准确的模型了。

  当然,你也可以认为这是生成模型(NB)与判别模型(KNN)的一个区别。

  为什么说朴素贝叶斯是高偏差低方差?

  以下内容引自知乎:

  首先,假设你知道训练集和测试集的关系。简单来讲是我们要在训练集上学习一个模型,然后拿到测试集去用,效果好不好要根据测试集的错误率来衡量。

  但很多时候,我们只能假设测试集和训练集的是符合同一个数据分布的,但却拿不到真正的测试数据。这时候怎么在只看到训练错误率的情况下,去衡量测试错误率呢?

  由于训练样本很少(至少不足够多),所以通过训练集得到的模型,总不是真正正确的。(就算在训练集上正确率100%,也不能说明它刻画了真实的数据分布,要知道刻画真实的数据分布才是我们的目的,而不是只刻画训练集的有限的数据点)。

  而且,实际中,训练样本往往还有一定的噪音误差,所以如果太追求在训练集上的完美而采用一个很复杂的模型,会使得模型把训练集里面的误差都当成了真实的数据分布特征,从而得到错误的数据分布估计。

  这样的话,到了真正的测试集上就错的一塌糊涂了(这种现象叫过拟合)。但是也不能用太简单的模型,否则在数据分布比较复杂的时候,模型就不足以刻画数据分布了(体现为连在训练集上的错误率都很高,这种现象较欠拟合)。

  过拟合表明采用的模型比真实的数据分布更复杂,而欠拟合表示采用的模型比真实的数据分布要简单。

  在统计学习框架下,大家刻画模型复杂度的时候,有这么个观点,认为Error=Bias+Variance。这里的Error大概可以理解为模型的预测错误率,是有两部分组成的,一部分是由于模型太简单而带来的估计不准确的部分(Bias),另一部分是由于模型太复杂而带来的更大的变化空间和不确定性(Variance)。

  所以,这样就容易分析朴素贝叶斯了。它简单的假设了各个数据之间是无关的,是一个被严重简化了的模型。所以,对于这样一个简单模型,大部分场合都会Bias部分大于Variance部分,也就是说高偏差而低方差。

  在实际中,为了让Error尽量小,我们在选择模型的时候需要平衡Bias和Variance所占的比例,也就是平衡over-fitting和under-fitting。

  偏差和方差与模型复杂度的关系使用下图更加明了:

\

  当模型复杂度上升的时候,偏差会逐渐变小,而方差会逐渐变大。

  常见算法优缺点

  1.朴素贝叶斯


  朴素贝叶斯属于生成式模型(关于生成模型和判别式模型,主要还是在于是否是要求联合分布),非常简单,你只是做了一堆计数。

  如果注有条件独立性假设(一个比较严格的条件),朴素贝叶斯分类器的收敛速度将快于判别模型,如逻辑回归,所以你只需要较少的训练数据即可。即使NB条件独立假设不成立,NB分类器在实践中仍然表现的很出色。

  它的主要缺点是它不能学习特征间的相互作用,用mRMR中R来讲,就是特征冗余。引用一个比较经典的例子,比如,虽然你喜欢BradPitt和TomCruise的电影,但是它不能学习出你不喜欢他们在一起演的电影。

  优点:

  朴素贝叶斯模型发源于古典数学理论,有着坚实的数学基础,以及稳定的分类效率。

  对小规模的数据表现很好,能个处理多分类任务,适合增量式训练;

  对缺失数据不太敏感,算法也比较简单,常用于文本分类。

  缺点:

  需要计算先验概率;

  分类决策存在错误率;

  对输入数据的表达形式很敏感。

  2.逻辑回归

  属于判别式模型,有很多正则化模型的方法(L0,L1,L2,etc),而且你不必像在用朴素贝叶斯那样担心你的特征是否相关。

  与决策树与SVM机相比,你还会得到一个不错的概率解释,你甚至可以轻松地利用新数据来更新模型(使用在线梯度下降算法,onlinegradientdescent)。

  如果你需要一个概率架构(比如,简单地调节分类阈值,指明不确定性,或者是要获得置信区间),或者你希望以后将更多的训练数据快速整合到模型中去,那么使用它吧。

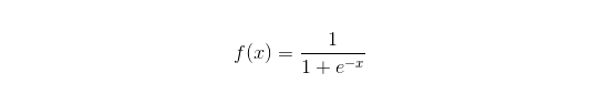
  Sigmoid函数:

\

  优点:

  实现简单,广泛的应用于工业问题上;

  分类时计算量非常小,速度很快,存储资源低;

  便利的观测样本概率分数;

  对逻辑回归而言,多重共线性并不是问题,它可以结合L2正则化来解决该问题;

  缺点:

  当特征空间很大时,逻辑回归的性能不是很好;

  容易欠拟合,一般准确度不太高

  不能很好地处理大量多类特征或变量;

  只能处理两分类问题(在此基础上衍生出来的softmax可以用于多分类),且必须线性可分;

  对于非线性特征,需要进行转换;

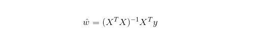
  3.线性回归

  线性回归是用于回归的,而不像Logistic回归是用于分类,其基本思想是用梯度下降法对最小二乘法形式的误差函数进行优化,当然也可以用normalequation直接求得参数的解,结果为:

\

  而在LWLR(局部加权线性回归)中,参数的计算表达式为:

\

  由此可见LWLR与LR不同,LWLR是一个非参数模型,因为每次进行回归计算都要遍历训练样本至少一次。

  优点:实现简单,计算简单;

  缺点:不能拟合非线性数据。

  4.最近邻算法——KNN

  KNN即最近邻算法,其主要过程为:

  1.计算训练样本和测试样本中每个样本点的距离(常见的距离度量有欧式距离,马氏距离等);

  2.对上面所有的距离值进行排序;

  3.选前k个最小距离的样本;

  4.根据这k个样本的标签进行投票,得到最后的分类类别;

  如何选择一个最佳的K值,这取决于数据。一般情况下,在分类时较大的K值能够减小噪声的影响。但会使类别之间的界限变得模糊。

  一个较好的K值可通过各种启发式技术来获取,比如,交叉验证。另外噪声和非相关性特征向量的存在会使K近邻算法的准确性减小。

  近邻算法具有较强的一致性结果。随着数据趋于无限,算法保证错误率不会超过贝叶斯算法错误率的两倍。对于一些好的K值,K近邻保证错误率不会超过贝叶斯理论误差率。

  KNN算法的优点

  理论成熟,思想简单,既可以用来做分类也可以用来做回归;

  可用于非线性分类;

  训练时间复杂度为O(n);

  对数据没有假设,准确度高,对outlier不敏感;

  缺点

  计算量大;

  样本不平衡问题(即有些类别的样本数量很多,而其它样本的数量很少);

  需要大量的内存;

  5.决策树

  易于解释。它可以毫无压力地处理特征间的交互关系并且是非参数化的,因此你不必担心异常值或者数据是否线性可分(举个例子,决策树能轻松处理好类别A在某个特征维度x的末端,类别B在中间,然后类别A又出现在特征维度x前端的情况)。

  它的缺点之一就是不支持在线学习,于是在新样本到来后,决策树需要全部重建。

  另一个缺点就是容易出现过拟合,但这也就是诸如随机森林RF(或提升树boostedtree)之类的集成方法的切入点。

  另外,随机森林经常是很多分类问题的赢家(通常比支持向量机好上那么一丁点),它训练快速并且可调,同时你无须担心要像支持向量机那样调一大堆参数,所以在以前都一直很受欢迎。

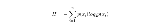
  决策树中很重要的一点就是选择一个属性进行分枝,因此要注意一下信息增益的计算公式,并深入理解它。

  信息熵的计算公式如下:

\

  其中的n代表有n个分类类别(比如假设是2类问题,那么n=2)。分别计算这2类样本在总样本中出现的概率p1和p2,这样就可以计算出未选中属性分枝前的信息熵。

  现在选中一个属性xixi用来进行分枝,此时分枝规则是:如果xi=vxi=v的话,将样本分到树的一个分支;如果不相等则进入另一个分支。

  很显然,分支中的样本很有可能包括2个类别,分别计算这2个分支的熵H1和H2,计算出分枝后的总信息熵H’=p1H1+p2H2,则此时的信息增益ΔH=H-H’。以信息增益为原则,把所有的属性都测试一边,选择一个使增益最大的属性作为本次分枝属性。

  决策树自身的优点

  计算简单,易于理解,可解释性强;

  比较适合处理有缺失属性的样本;

  能够处理不相关的特征;

  在相对短的时间内能够对大型数据源做出可行且效果良好的结果。

  缺点

  容易发生过拟合(随机森林可以很大程度上减少过拟合);

  忽略了数据之间的相关性;

  对于那些各类别样本数量不一致的数据,在决策树当中,信息增益的结果偏向于那些具有更多数值的特征(只要是使用了信息增益,都有这个缺点,如RF)。

  5.1Adaboosting

  Adaboost是一种加和模型,每个模型都是基于上一次模型的错误率来建立的,过分关注分错的样本,而对正确分类的样本减少关注度,逐次迭代之后,可以得到一个相对较好的模型。是一种典型的boosting算法。下面是总结下它的优缺点。

  优点

  adaboost是一种有很高精度的分类器。

  可以使用各种方法构建子分类器,Adaboost算法提供的是框架。

  当使用简单分类器时,计算出的结果是可以理解的,并且弱分类器的构造极其简单。

  简单,不用做特征筛选。

  不容易发生overfitting。

  关于随机森林和GBDT等组合算法,参考这篇文章:机器学习-组合算法总结

  缺点:对outlier比较敏感

  6.SVM支持向量机

  高准确率,为避免过拟合提供了很好的理论保证,而且就算数据在原特征空间线性不可分,只要给个合适的核函数,它就能运行得很好。

  在动辄超高维的文本分类问题中特别受欢迎。可惜内存消耗大,难以解释,运行和调参也有些烦人,而随机森林却刚好避开了这些缺点,比较实用。

  优点

  可以解决高维问题,即大型特征空间;

  能够处理非线性特征的相互作用;

  无需依赖整个数据;

  可以提高泛化能力;

  缺点

  当观测样本很多时,效率并不是很高;

  对非线性问题没有通用解决方案,有时候很难找到一个合适的核函数;

  对缺失数据敏感;

  对于核的选择也是有技巧的(libsvm中自带了四种核函数:线性核、多项式核、RBF以及sigmoid核):

  第一,如果样本数量小于特征数,那么就没必要选择非线性核,简单的使用线性核就可以了;

  第二,如果样本数量大于特征数目,这时可以使用非线性核,将样本映射到更高维度,一般可以得到更好的结果;

  第三,如果样本数目和特征数目相等,该情况可以使用非线性核,原理和第二种一样。

  对于第一种情况,也可以先对数据进行降维,然后使用非线性核,这也是一种方法。

  7.人工神经网络的优缺点

  人工神经网络的优点:

  分类的准确度高;

  并行分布处理能力强,分布存储及学习能力强,

  对噪声神经有较强的鲁棒性和容错能力,能充分逼近复杂的非线性关系;

  具备联想记忆的功能。

  人工神经网络的缺点:

  神经网络需要大量的参数,如网络拓扑结构、权值和阈值的初始值;

  不能观察之间的学习过程,输出结果难以解释,会影响到结果的可信度和可接受程度;

  学习时间过长,甚至可能达不到学习的目的。

  8、K-Means聚类

  之前写过一篇关于K-Means聚类的文章,博文链接:机器学习算法-K-means聚类。关于K-Means的推导,里面有着很强大的EM思想。

  优点

  算法简单,容易实现;

  对处理大数据集,该算法是相对可伸缩的和高效率的,因为它的复杂度大约是O(nkt),其中n是所有对象的数目,k是簇的数目,t是迭代的次数。通常k《n。这个算法通常局部收敛。<p="">

  算法尝试找出使平方误差函数值最小的k个划分。当簇是密集的、球状或团状的,且簇与簇之间区别明显时,聚类效果较好。

  缺点

  对数据类型要求较高,适合数值型数据;

  可能收敛到局部最小值,在大规模数据上收敛较慢

  K值比较难以选取;

  对初值的簇心值敏感,对于不同的初始值,可能会导致不同的聚类结果;

  不适合于发现非凸面形状的簇,或者大小差别很大的簇。

  对于”噪声”和孤立点数据敏感,少量的该类数据能够对平均值产生极大影响。

  算法选择参考

  之前翻译过一些国外的文章,有一篇文章中给出了一个简单的算法选择技巧:

  首当其冲应该选择的就是逻辑回归,如果它的效果不怎么样,那么可以将它的结果作为基准来参考,在基础上与其他算法进行比较;

  然后试试决策树(随机森林)看看是否可以大幅度提升你的模型性能。即便最后你并没有把它当做为最终模型,你也可以使用随机森林来移除噪声变量,做特征选择;

  如果特征的数量和观测样本特别多,那么当资源和时间充足时(这个前提很重要),使用SVM不失为一种选择。

  通常情况下:【GBDT>=SVM>=RF>=Adaboost>=Other…】,现在深度学习很热门,很多领域都用到,它是以神经网络为基础的,目前我自己也在学习,只是理论知识不是很厚实,理解的不够深,这里就不做介绍了。

  算法固然重要,但好的数据却要优于好的算法,设计优良特征是大有裨益的。假如你有一个超大数据集,那么无论你使用哪种算法可能对分类性能都没太大影响(此时就可以根据速度和易用性来进行抉择)。
第四十一届CIO班招生
国际CIO认证培训
首席数据官(CDO)认证培训
责编:houlimin

免责声明:本网站(http://www.ciotimes.com/)内容主要来自原创、合作媒体供稿和第三方投稿,凡在本网站出现的信息,均仅供参考。本网站将尽力确保所提供信息的准确性及可靠性,但不保证有关资料的准确性及可靠性,读者在使用前请进一步核实,并对任何自主决定的行为负责。本网站对有关资料所引致的错误、不确或遗漏,概不负任何法律责任。
本网站刊载的所有内容(包括但不仅限文字、图片、LOGO、音频、视频、软件、程序等)版权归原作者所有。任何单位或个人认为本网站中的内容可能涉嫌侵犯其知识产权或存在不实内容时,请及时通知本站,予以删除。